Te presentamos una colección de exámenes anteriores de la carrera de Ciencias de la Comunicación Social, del año 2019. Todo el material está en un solo archivo PDF de tamaño carta.
PDF de Ciencias de la Comunicación Social (18 hojas escaneadas en PDF y en blanco y negro)
Precio: 5Bs.
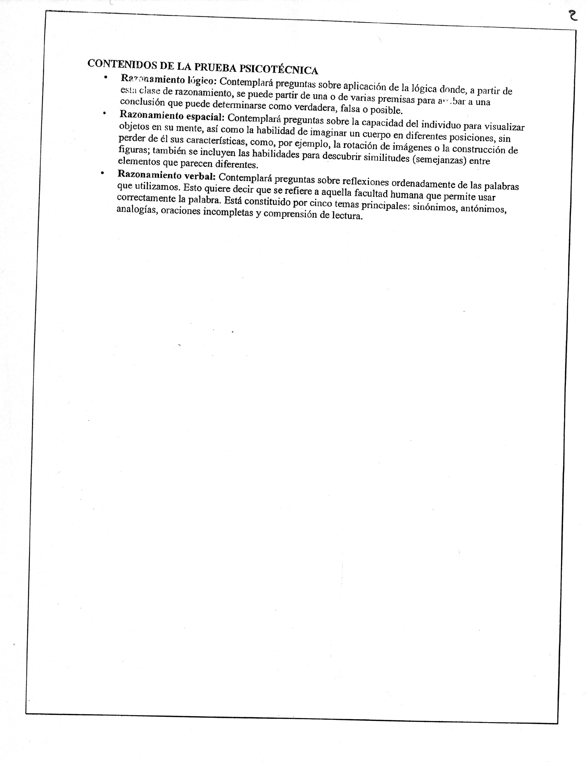
Te comparto algunas imágenes de las hojas escaneadas para que las veas. (Por favor, revísalas)
CIENCIAS DE LA COMUNICACION SOCIAL-Muestras (Descarga Todas Tamaño Real)




COMPRA DE PDF DIGITAL – BOLIVIA: Primero coordinamos por WhatsApp para elegir el producto y explicarte cómo pagar. Escríbeme al 75206441
FORMAS DE PAGO EN BOLIVIA:

1️⃣ Tigo Money – Al número 75206441 (no es recarga de crédito) – Envía la captura del comprobante por WhatsApp – Luego recibirás el archivo PDF correspondiente

2️⃣ QR Simple Bancario – Te envío el QR por WhatsApp – Escanéalo con la app de tu banco – Manda la foto del comprobante – Después te enviaré el PDF que elegiste. 📌¿No sabes cómo pagar desde tu celular? 🔗 VER TUTORIAL AQUI














